Calculating Highly Variable Features (HVF) is necessary to identify genes (or features) that display significant variability across the spots.
# Ensure Giotto Suite is installed
if(!"Giotto" %in% installed.packages()) {
pak::pkg_install("giotto-suite/Giotto")
}
# Ensure Giotto Data is installed
if(!"GiottoData" %in% installed.packages()) {
pak::pkg_install("giotto-suite/GiottoData")
}
library(Giotto)
# Ensure the Python environment for Giotto has been installed
genv_exists <- checkGiottoEnvironment()
if(!genv_exists){
# The following command need only be run once to install the Giotto environment
installGiottoEnvironment()
}
# load the object
g <- GiottoData::loadGiottoMini("visium")There are a few methods to choose from depending on the underlying distribution of the data:
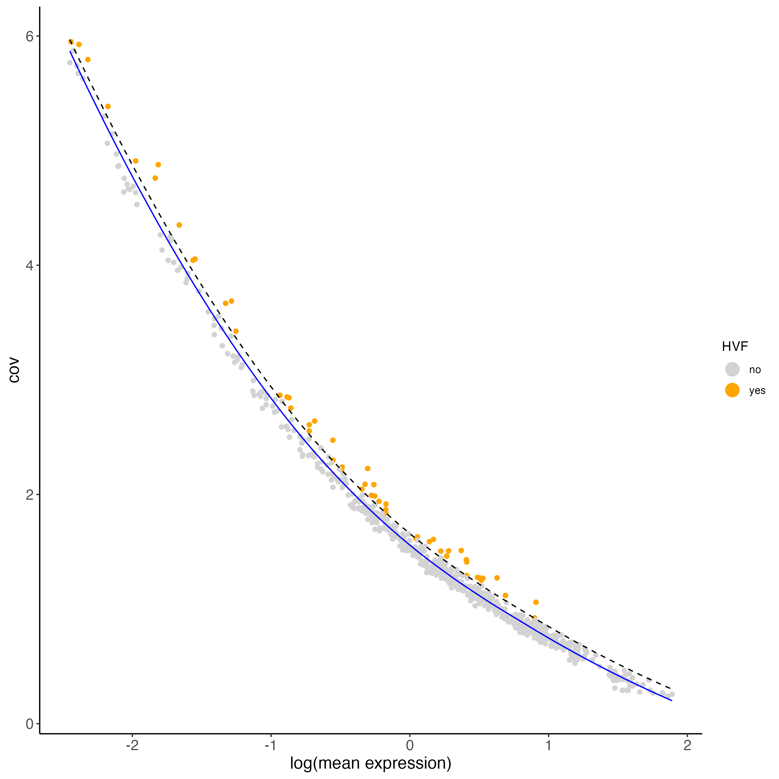
It is used when the relationship between mean expression and variance is non-linear or can be described by a non-parametric model.
g <- calculateHVF(gobject = g,
method = "cov_loess",
save_plot = TRUE)
They are used for variance stabilization (to account for technical noise) and highlighting overdispersed genes.
g <- calculateHVF(gobject = g,
method = "var_p_resid",
save_plot = TRUE)
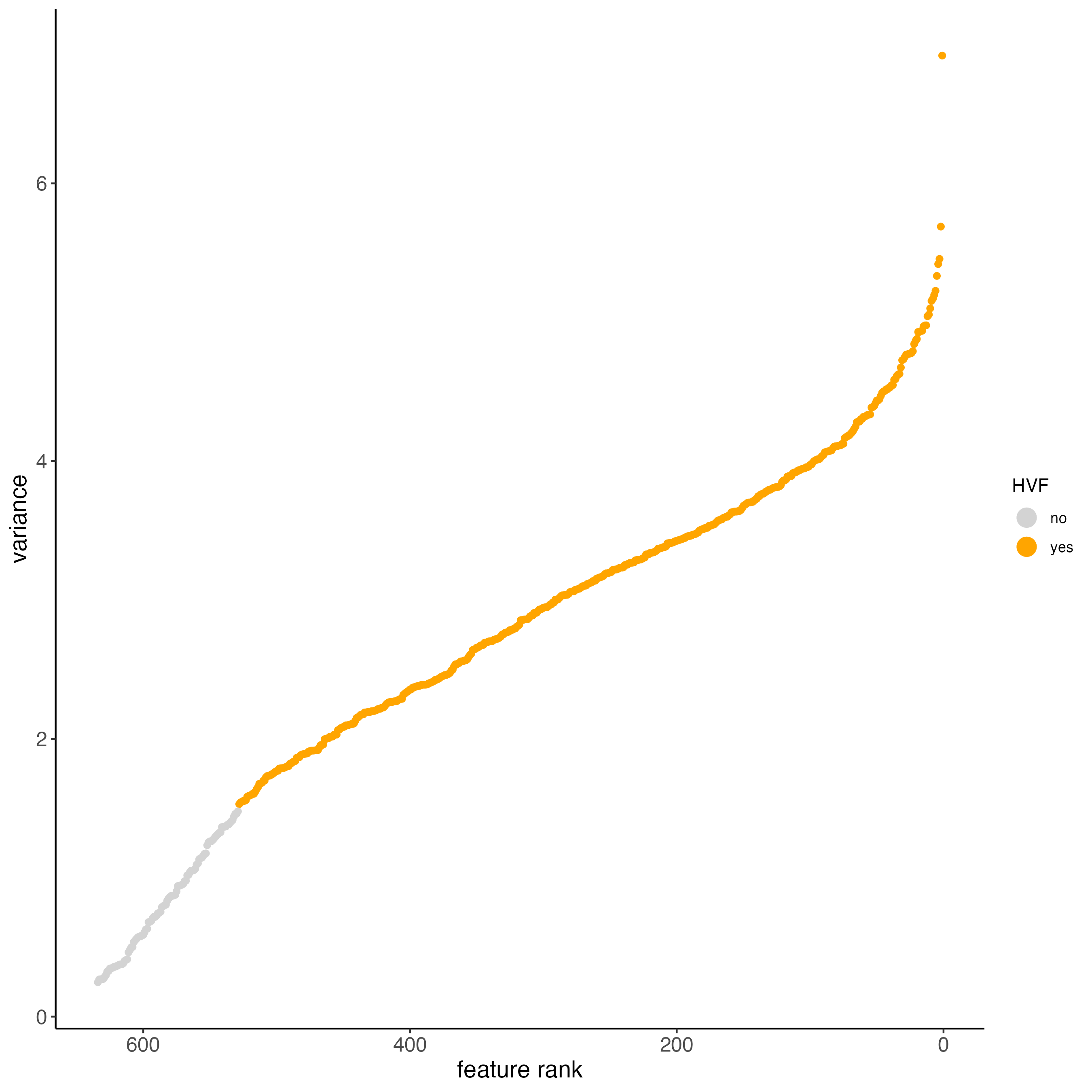
They are used when gene expression variability differs across expression levels or spatial regions, without assuming a specific relationship between mean expression and variance. This is the default method in the calculateHVF() function.
g <- calculateHVF(gobject = g,
method = "cov_groups",
save_plot = TRUE)
R version 4.4.1 (2024-06-14)
Platform: x86_64-apple-darwin20
Running under: macOS 15.0
Matrix products: default
BLAS: /System/Library/Frameworks/Accelerate.framework/Versions/A/Frameworks/vecLib.framework/Versions/A/libBLAS.dylib
LAPACK: /Library/Frameworks/R.framework/Versions/4.4-x86_64/Resources/lib/libRlapack.dylib; LAPACK version 3.12.0
locale:
[1] en_US.UTF-8/en_US.UTF-8/en_US.UTF-8/C/en_US.UTF-8/en_US.UTF-8
time zone: America/New_York
tzcode source: internal
attached base packages:
[1] stats graphics grDevices utils datasets methods base
other attached packages:
[1] Giotto_4.1.3 GiottoClass_0.4.0
loaded via a namespace (and not attached):
[1] tidyselect_1.2.1 viridisLite_0.4.2
[3] farver_2.1.2 dplyr_1.1.4
[5] GiottoVisuals_0.2.5 R.utils_2.12.3
[7] fastmap_1.2.0 SingleCellExperiment_1.26.0
[9] lazyeval_0.2.2 digest_0.6.37
[11] lifecycle_1.0.4 terra_1.7-78
[13] magrittr_2.0.3 compiler_4.4.1
[15] rlang_1.1.4 tools_4.4.1
[17] igraph_2.0.3 utf8_1.2.4
[19] yaml_2.3.10 data.table_1.16.0
[21] knitr_1.48 labeling_0.4.3
[23] S4Arrays_1.4.1 htmlwidgets_1.6.4
[25] reticulate_1.39.0 DelayedArray_0.30.1
[27] RColorBrewer_1.1-3 abind_1.4-8
[29] withr_3.0.1 purrr_1.0.2
[31] BiocGenerics_0.50.0 R.oo_1.26.0
[33] grid_4.4.1 stats4_4.4.1
[35] fansi_1.0.6 future_1.34.0
[37] colorspace_2.1-1 ggplot2_3.5.1
[39] globals_0.16.3 scales_1.3.0
[41] gtools_3.9.5 SummarizedExperiment_1.34.0
[43] cli_3.6.3 rmarkdown_2.28
[45] crayon_1.5.3 ragg_1.3.3
[47] generics_0.1.3 future.apply_1.11.2
[49] rstudioapi_0.16.0 httr_1.4.7
[51] rjson_0.2.23 zlibbioc_1.50.0
[53] parallel_4.4.1 XVector_0.44.0
[55] matrixStats_1.4.1 vctrs_0.6.5
[57] Matrix_1.7-0 jsonlite_1.8.9
[59] GiottoData_0.2.15 IRanges_2.38.1
[61] S4Vectors_0.42.1 ggrepel_0.9.6
[63] scattermore_1.2 listenv_0.9.1
[65] systemfonts_1.1.0 magick_2.8.5
[67] GiottoUtils_0.2.0 plotly_4.10.4
[69] tidyr_1.3.1 parallelly_1.38.0
[71] glue_1.8.0 codetools_0.2-20
[73] cowplot_1.1.3 gtable_0.3.5
[75] GenomeInfoDb_1.40.1 GenomicRanges_1.56.1
[77] UCSC.utils_1.0.0 munsell_0.5.1
[79] tibble_3.2.1 pillar_1.9.0
[81] htmltools_0.5.8.1 GenomeInfoDbData_1.2.12
[83] R6_2.5.1 textshaping_0.4.0
[85] evaluate_1.0.0 lattice_0.22-6
[87] Biobase_2.64.0 png_0.1-8
[89] R.methodsS3_1.8.2 backports_1.5.0
[91] SpatialExperiment_1.14.0 Rcpp_1.0.13
[93] SparseArray_1.4.8 checkmate_2.3.2
[95] colorRamp2_0.1.0 xfun_0.47
[97] MatrixGenerics_1.16.0 pkgconfig_2.0.3