10X genomics launched a platform to obtain spatial expression data using a Visium Spatial Gene Expression slide.
Visium allows you to perform spatial transcriptomics, which combines histological information with whole transcriptome gene expression profiles (fresh frozen or FFPE) to provide you with spatially resolved gene expression.

You can use standard fixation and staining techniques, including hematoxylin and eosin (H&E) staining, to visualize tissue sections on slides using a brightfield microscope and immunofluorescence (IF) staining to visualize protein detection in tissue sections on slides using a fluorescent microscope.
High resolution png from original tissue:

The visium fresh frozen mouse brain tissue (Strain C57BL/6) dataset was obtained from 10X genomics. The tissue was embedded and cryosectioned as described in Visium Spatial Protocols - Tissue Preparation Guide (Demonstrated Protocol CG000240). Tissue sections of 10 µm thickness from a slice of the coronal plane were placed on Visium Gene Expression Slides.
You can find more information about this sample here
You need to download the expression matrix and spatial information by running these commands:
dir.create("/path/to/data/")
download.file(url = "https://cf.10xgenomics.com/samples/spatial-exp/1.1.0/V1_Adult_Mouse_Brain/V1_Adult_Mouse_Brain_raw_feature_bc_matrix.tar.gz",
destfile = "data/V1_Adult_Mouse_Brain_raw_feature_bc_matrix.tar.gz")
download.file(url = "https://cf.10xgenomics.com/samples/spatial-exp/1.1.0/V1_Adult_Mouse_Brain/V1_Adult_Mouse_Brain_spatial.tar.gz",
destfile = "data/V1_Adult_Mouse_Brain_spatial.tar.gz")After downloading, unzip the gz files. You should get the “raw_feature_bc_matrix” and “spatial” folders inside your “/path/to/data/”.
Ensure that the Giotto package is installed. Additionally, check that the mini conda Giotto environment with Python dependencies is installed.
If you have installation troubles, visit the Installation and Frequently Asked Questions sections.
# Ensure Giotto Suite is installed.
if(!"Giotto" %in% installed.packages()) {
pak::pkg_install("giotto-suite/Giotto")
}
# Ensure the Python environment for Giotto has been installed.
genv_exists <- Giotto::checkGiottoEnvironment()
if(!genv_exists){
# The following command need only be run once to install the Giotto environment.
Giotto::installGiottoEnvironment()
}{Giotto} instructions are used to apply settings to giotto object behavior at the project level. Each giotto object needs a set of instructions information that can either be manually set or generated with defaults when the giotto object is first created. Once added, these instructions are stored in the giotto object @instructions slot.
library(Giotto)
# Set the results directory to save plots
results_folder <- "path/to/results"
# Optional: Specify the path to a Python executable within a conda or miniconda
# environment. If set to NULL (default), the Python executable within the previously installed Giotto environment will be used.
python_path <- NULL # alternatively, "/local/python/path/python" if desired.
# Create Giotto Instructions
instructions <- createGiottoInstructions(save_dir = results_folder,
save_plot = TRUE,
show_plot = FALSE,
return_plot = FALSE,
python_path = python_path)createGiottoVisiumObject() will look for the standardized files organization from the Visium technology in the data folder and will automatically load the expression and spatial information to create the Giotto object.
## provide path to visium folder
data_path <- "/path/to/data/"
## read the data
visium_brain <- createGiottoVisiumObject(visium_dir = data_path,
expr_data = "raw",
png_name = "tissue_lowres_image.png",
gene_column_index = 2,
instructions = instructions)
## show associated images with giotto object
showGiottoImageNames(visium_brain) # "image" is the default name
## check metadata
pDataDT(visium_brain)Use the metadata column “in_tissue” to highlight the spots corresponding to the tissue area.
spatPlot2D(gobject = visium_brain,
cell_color = "in_tissue",
point_size = 3,
cell_color_code = c("0" = "lightgrey", "1" = "blue"),
show_image = TRUE,
image_name = "image")
Use the same metadata column “in_tissue” to subset the object and keep only the spots corresponding to the tissue area.
metadata <- pDataDT(visium_brain)
in_tissue_barcodes <- metadata[in_tissue == 1]$cell_ID
visium_brain <- subsetGiotto(visium_brain,
cell_ids = in_tissue_barcodes)Use the function addStatistics() to count the number of features per spot. The statistics information will be stored in the metadata table under the new column “nr_feats”. Then, use this column to visualize the number of features per spot across the sample.
visium_brain_statistics <- addStatistics(gobject = visium_brain,
expression_values = "raw")
## visualize
spatPlot2D(gobject = visium_brain_statistics,
cell_color = "nr_feats",
color_as_factor = FALSE)
filterDistributions() creates a histogram to show the distribution of features per spot across the sample.
filterDistributions(gobject = visium_brain_statistics,
detection = "cells")
When setting the detection = “feats”, the histogram shows the distribution of spots with certain number of features across the sample.
filterDistributions(gobject = visium_brain_statistics,
detection = "feats")
filterCombinations() may be used to test how different filtering parameters will affect the number of cells and features in the filtered data:
filterCombinations(gobject = visium_brain_statistics,
expression_thresholds = c(1, 2, 3),
feat_det_in_min_cells = c(50, 100, 200),
min_det_feats_per_cell = c(500, 1000, 1500))
Use the arguments feat_det_in_min_cells and min_det_feats_per_cell to set the minimal number of cells where an individual feature must be detected and the minimal number of features per spot/cell, respectively, to filter the giotto object. All the features and spots/cells under those thresholds will be removed from the sample.
visium_brain <- filterGiotto(gobject = visium_brain,
expression_threshold = 1,
feat_det_in_min_cells = 50,
min_det_feats_per_cell = 1000,
expression_values = "raw",
verbose = TRUE)Use scalefactor to set the scale factor to use after library size normalization. The default value is 6000, but you can use a different one.
visium_brain <- normalizeGiotto(gobject = visium_brain,
scalefactor = 6000,
verbose = TRUE)Calculate the normalized number of features per spot and save the statistics in the metadata table.
visium_brain <- addStatistics(gobject = visium_brain)
## visualize
spatPlot2D(gobject = visium_brain,
show_image = TRUE,
point_alpha = 0.7,
cell_color = "nr_feats",
color_as_factor = FALSE)
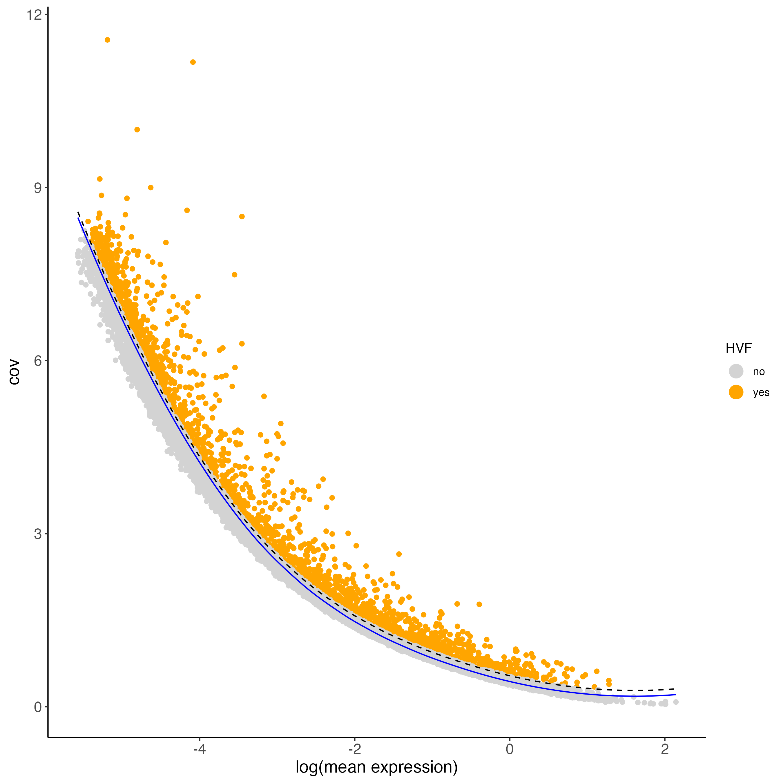
Calculating Highly Variable Features (HVF) is necessary to identify genes (or features) that display significant variability across the spots. There are a few methods to choose from depending on the underlying distribution of the data:
visium_brain <- calculateHVF(gobject = visium_brain,
method = "cov_loess",
save_plot = TRUE)
visium_brain <- calculateHVF(gobject = visium_brain,
method = "var_p_resid",
save_plot = TRUE)
visium_brain <- calculateHVF(gobject = visium_brain,
method = "cov_groups",
save_plot = TRUE)
Principal Components Analysis (PCA) is applied to reduce the dimensionality of gene expression data by transforming it into principal components, which are linear combinations of genes ranked by the variance they explain, with the first components capturing the most variance.
visium_brain <- runPCA(gobject = visium_brain)
my_features <- head(getFeatureMetadata(visium_brain,
output = "data.table")$feat_ID,
1000)
visium_brain <- runPCA(gobject = visium_brain,
feats_to_use = my_features,
name = "custom_pca")Create a screeplot to visualize the percentage of variance explained by each component.
screePlot(gobject = visium_brain,
ncp = 30)
plotPCA(gobject = visium_brain)
plotPCA(gobject = visium_brain,
dim_reduction_name = "custom_pca")
Unlike PCA, Uniform Manifold Approximation and Projection (UMAP) and t-Stochastic Neighbor Embedding (t-SNE) do not assume linearity. After running PCA, UMAP or t-SNE allows you to visualize the dataset in 2D.
## run UMAP on PCA space (default)
visium_brain <- runUMAP(visium_brain,
dimensions_to_use = 1:10)
plotUMAP(gobject = visium_brain)
In preparation for the clustering calculation, finding the spots/cells with similar expression patterns is needed. There are two methods available in Giotto:
The shared Nearest Neighbor algorithm defines the similarity between a pair of points in terms of their shared nearest neighbors. That is, the similarity between two points is “confirmed” by their common (shared) near neighbors. If point A is close to point B and if they are both close to a set of points C then we can say that A and B are close with greater confidence since their similarity is “confirmed” by the points in set C. You can find more information about this method here. By default, createNearestNetwork() calculates 30 shared Nearest Neighbors for each spot/cell, but you can modify this number using the “k” parameter.
visium_brain <- createNearestNetwork(gobject = visium_brain,
dimensions_to_use = 1:10,
k = 15)The K-Nearest Neighbors (kNN) algorithm operates on the principle of likelihood of similarity. It posits that similar data points tend to cluster near each other in space. You can find more information about this method here. By default, createNearestNetwork() finds the 30 K-Nearest Neighbors to each spot/cell, but you can modify this number using the “k” parameter.
visium_brain <- createNearestNetwork(gobject = visium_brain,
dimensions_to_use = 1:10,
k = 15,
type = "kNN")This algorithm is more complicated than the Louvain algorithm and have an accurate and fast result for the computation time. The Leiden algorithm consists of three phases. The first phase is the modularity optimization process, the second phase is the refinement of partition, and the third phase is the community aggregation process. This algorithm performs well on small, medium and large-scale networks. You can find more information about Louvain and Leiden clustering here
visium_brain <- doLeidenCluster(gobject = visium_brain,
resolution = 0.4,
n_iterations = 1000)
plotPCA(gobject = visium_brain,
cell_color = "leiden_clus")
Set the argument “show_NN_network = TRUE” to visualize the connections between spots.
plotUMAP(gobject = visium_brain,
cell_color = "leiden_clus",
show_NN_network = TRUE,
point_size = 2.5)
spatPlot2D(visium_brain,
cell_color = "leiden_clus",
coord_fix_ratio = 1)
You can highlight one or more groups of interest:
spatPlot2D(visium_brain,
cell_color = "leiden_clus",
select_cell_groups = "8",
coord_fix_ratio = 1,
show_other_cells = TRUE,
cell_color_code = c("8" = "red"),
other_cell_color = "grey",
other_point_size = 1.5)
If you want to take a deeper look at certain regions of the sample, use subsetGiottoLocs() and specify the axis ranges to create a sample subset.
# create and show subset
DG_subset <- subsetGiottoLocs(visium_brain,
x_max = 6500, x_min = 3000,
y_max = -2500, y_min = -5500,
return_gobject = TRUE)
spatDimPlot(gobject = DG_subset,
cell_color = "leiden_clus",
spat_point_size = 5)
The Gini method identifies genes that are very selectively expressed in a specific cluster, however not always expressed in all cells of that cluster. In other words, highly specific but not necessarily sensitive at the single-cell level.
gini_markers <- findMarkers_one_vs_all(gobject = visium_brain,
method = "gini",
expression_values = "normalized",
cluster_column = "leiden_clus",
min_feats = 10)
topgenes_gini <- gini_markers[, head(.SD, 2), by = "cluster"]$feats
violinPlot(visium_brain,
feats = unique(topgenes_gini),
cluster_column = "leiden_clus",
strip_text = 6,
strip_position = "right",
save_param = list(base_width = 10, base_height = 30))
plotMetaDataHeatmap(visium_brain,
selected_feats = unique(topgenes_gini),
metadata_cols = "leiden_clus",
x_text_size = 10, y_text_size = 10)
dimFeatPlot2D(visium_brain,
expression_values = "scaled",
feats = sort(unique(topgenes_gini)),
cow_n_col = 5,
point_size = 1,
save_param = list(base_width = 15, base_height = 20))
The Scran method is preferred for robust differential expression analysis, especially when addressing technical variability or differences in sequencing depth across spatial locations.
scran_markers <- findMarkers_one_vs_all(gobject = visium_brain,
method = "scran",
expression_values = "normalized",
cluster_column = "leiden_clus",
min_feats = 10)
topgenes_scran <- scran_markers[, head(.SD, 2), by = "cluster"]$feats
violinPlot(visium_brain,
feats = unique(topgenes_scran),
cluster_column = "leiden_clus",
strip_text = 6,
strip_position = "right",
save_param = list(base_width = 10, base_height = 30))
plotMetaDataHeatmap(visium_brain,
selected_feats = unique(topgenes_scran),
metadata_cols = "leiden_clus",
x_text_size = 10, y_text_size = 10)
dimFeatPlot2D(visium_brain,
expression_values = "scaled",
feats = sort(unique(topgenes_scran)),
cow_n_col = 5,
point_size = 1,
save_param = list(base_width = 20, base_height = 20))
In practice, it is often beneficial to apply both Gini and Scran methods and compare results for a more complete understanding of differential gene expression across clusters.
Visium spatial transcriptomics does not provide single-cell resolution, making cell type annotation a harder problem. Giotto provides several ways to calculate enrichment of specific cell-type signature gene lists:
The Giotto_SC object was processed from the downsampled Loom file and can also be downloaded from GiottoData::getSpatialDataset().
GiottoData::getSpatialDataset(dataset = "scRNA_mouse_brain",
directory = data_path)
instructions <- createGiottoInstructions(
save_dir = results_folder,
save_plot = TRUE,
show_plot = FALSE,
python_path = python_path
)
sc_expression <- file.path(data_path, "brain_sc_expression_matrix.txt.gz")
sc_metadata <- file.path(data_path, "brain_sc_metadata.csv")
giotto_SC <- createGiottoObject(expression = sc_expression,
instructions = instructions)
cell_metadata <- data.table::fread(sc_metadata)
giotto_SC <- addCellMetadata(giotto_SC,
new_metadata = cell_metadata[, c("Class", "Subclass")])
giotto_SC <- normalizeGiotto(giotto_SC)Both Parametric Analysis of Gene Set Enrichment (PAGE) and Rank enrichment methods aim to determine whether a predefined set of genes show statistically significant differences in expression compared to other genes in the dataset.
The PAGE matrix should be a binary matrix where each row represents a gene marker and each column represents a cell type. There are several ways to create the PAGE matrix:
gran_markers <- c("Nr3c2", "Gabra5", "Tubgcp2", "Ahcyl2",
"Islr2", "Rasl10a", "Tmem114", "Bhlhe22",
"Ntf3", "C1ql2")
oligo_markers <- c("Efhd1", "H2-Ab1", "Enpp6", "Ninj2",
"Bmp4", "Tnr", "Hapln2", "Neu4",
"Wfdc18", "Ccp110")
di_mesench_markers <- c("Cartpt", "Scn1a", "Lypd6b", "Drd5",
"Gpr88", "Plcxd2", "Cpne7", "Pou4f1",
"Ctxn2", "Wnt4")
sign_matrix <- makeSignMatrixPAGE(sign_names = c("Granule_neurons",
"Oligo_dendrocytes",
"di_mesenchephalon"),
sign_list = list(gran_markers,
oligo_markers,
di_mesench_markers))
sign_matrix_path <- system.file("extdata", "sig_matrix.txt",
package = "GiottoData")
brain_sc_markers <- data.table::fread(sign_matrix_path)
sign_matrix <- as.matrix(brain_sc_markers[,-1])
rownames(sign_matrix) <- brain_sc_markers$Event
markers_scran <- findMarkers_one_vs_all(gobject = giotto_SC,
method = "scran",
expression_values = "normalized",
cluster_column = "Class",
min_feats = 3)
top_markers <- markers_scran[, head(.SD, 10), by = "cluster"]
celltypes <- levels(factor(markers_scran$cluster))
sign_list <- list()
for (i in 1:length(celltypes)){
sign_list[[i]] = top_markers[which(top_markers$cluster == celltypes[i]),]$feats
}
sign_matrix <- makeSignMatrixPAGE(sign_names = celltypes,
sign_list = sign_list)runSpatialEnrich() can also be used as a wrapper for all currently provided enrichment options.
visium_brain <- runPAGEEnrich(gobject = visium_brain,
sign_matrix = sign_matrix)
cell_types_PAGE <- colnames(sign_matrix)
plotMetaDataCellsHeatmap(gobject = visium_brain,
metadata_cols = "leiden_clus",
value_cols = cell_types_PAGE,
spat_enr_names = "PAGE",
x_text_size = 8,
y_text_size = 8)
spatCellPlot2D(gobject = visium_brain,
spat_enr_names = "PAGE",
cell_annotation_values = cell_types_PAGE,
cow_n_col = 3,
coord_fix_ratio = 1,
point_size = 1,
show_legend = TRUE)
The hypergeometric test has been widely used for searching gene overrepresentation in categories such as diseases or particular Gene Ontology (GO) terms for cellular compartments, molecular functions, or biological processes. Traditionally, enrichment analysis with the hypergeometric test asks the question “What is the probability that k or more out of n genes associated with the pathway are in a list of length N, where those N genes are sampled from a background of size M?” You can find more information about this test here
visium_brain <- runHyperGeometricEnrich(gobject = visium_brain,
expression_values = "normalized",
sign_matrix = sign_matrix)
cell_types_HyperGeometric <- colnames(sign_matrix)
spatCellPlot(gobject = visium_brain,
spat_enr_names = "hypergeometric",
cell_annotation_values = cell_types_HyperGeometric[1:4],
cow_n_col = 2,
coord_fix_ratio = NULL,
point_size = 1.75)
In this method, enrichment is calculated based on the rank of fold-change for each gene in each spot and the rank of each marker in each cell type.
Note that rank matrix is different from PAGE. A count matrix and a vector for all cell labels will be needed.
rank_matrix <- makeSignMatrixRank(sc_matrix = getExpression(giotto_SC,
values = "normalized",
output = "matrix"),
sc_cluster_ids = pDataDT(giotto_SC)$Class)
colnames(rank_matrix) <- levels(factor(pDataDT(giotto_SC)$Class))
visium_brain <- runRankEnrich(gobject = visium_brain,
sign_matrix = rank_matrix,
expression_values = "normalized")
# Plot Rank enrichment result
spatCellPlot2D(gobject = visium_brain,
spat_enr_names = "rank",
cell_annotation_values = colnames(rank_matrix)[1:4],
cow_n_col = 2,
coord_fix_ratio = 1,
point_size = 1)
Spatial Dampened Weighted Least Squares (DWLS) estimates the proportions of different cell types across spots in a tissue.
Note that DWLS matrix is different from PAGE and rank. A count matrix a vector for a list of gene signatures and a vector for all cell labels will be needed.
DWLS_matrix <- makeSignMatrixDWLSfromMatrix(
matrix = getExpression(giotto_SC,
values = "normalized",
output = "matrix"),
cell_type = pDataDT(giotto_SC)$Class,
sign_gene = topgenes_scran)
visium_brain <- runDWLSDeconv(gobject = visium_brain,
sign_matrix = DWLS_matrix)
spatCellPlot2D(gobject = visium_brain,
spat_enr_names = "DWLS",
cell_annotation_values = levels(factor(pDataDT(giotto_SC)$Class))[1:4],
cow_n_col = 2,
coord_fix_ratio = 1,
point_size = 1)
spatDeconvPlot(visium_brain,
show_image = TRUE,
radius = 50)
Create spatial grids by specifying the step size in both axis. This information will be saved in the Giotto object.
visium_brain <- createSpatialGrid(gobject = visium_brain,
sdimx_stepsize = 400,
sdimy_stepsize = 400,
minimum_padding = 0)
showGiottoSpatGrids(visium_brain)
spatPlot2D(visium_brain,
cell_color = "leiden_clus",
show_grid = TRUE,
grid_color = "red",
spatial_grid_name = "spatial_grid")
When having the spatial location of each spot/cell, you can look for genes that follow and share particular spatial distributions.
createSpatialNetwork() creates a spatial network connecting single-cells based on their physical distance to each other. There are two methods available: Delaunay and kNN. For the Delaunay method, neighbors will be decided by Delaunay triangulation and a maximum distance criterion. For the kNN method, the number of neighbors can be determined by k, or the maximum distance from each cell with or without setting a minimum k for each cell.
visium_brain <- createSpatialNetwork(gobject = visium_brain,
method = "kNN",
k = 6,
maximum_distance_knn = 400,
name = "spatial_network")
spatPlot2D(gobject = visium_brain,
show_network= TRUE,
network_color = "blue",
spatial_network_name = "spatial_network")
Use the rank binarization to rank genes on the spatial dataset depending on whether they exhibit a spatial pattern location or not. This step may take a few minutes to run.
ranktest <- binSpect(visium_brain,
bin_method = "rank",
calc_hub = TRUE,
hub_min_int = 5,
spatial_network_name = "spatial_network")
spatFeatPlot2D(visium_brain,
expression_values = "scaled",
feats = ranktest$feats[1:6],
cow_n_col = 2,
point_size = 1)
Once we have found spatial genes, we can group those genes with similar spatial patterns into co-expression modules.
ext_spatial_genes <- ranktest[1:500,]$feats
spat_cor_netw_DT <- detectSpatialCorFeats(
visium_brain,
method = "network",
spatial_network_name = "spatial_network",
subset_feats = ext_spatial_genes)
top10_genes <- showSpatialCorFeats(spat_cor_netw_DT,
feats = "Mbp",
show_top_feats = 10)
spatFeatPlot2D(visium_brain,
expression_values = "scaled",
feats = top10_genes$variable[1:4],
point_size = 1.5)
spat_cor_netw_DT <- clusterSpatialCorFeats(spat_cor_netw_DT,
name = "spat_netw_clus",
k = 20)
heatmSpatialCorFeats(visium_brain,
spatCorObject = spat_cor_netw_DT,
use_clus_name = "spat_netw_clus",
heatmap_legend_param = list(title = NULL))
netw_ranks <- rankSpatialCorGroups(
visium_brain,
spatCorObject = spat_cor_netw_DT,
use_clus_name = "spat_netw_clus")
top_netw_spat_cluster <- showSpatialCorFeats(spat_cor_netw_DT,
use_clus_name = "spat_netw_clus",
selected_clusters = 6,
show_top_feats = 1)
cluster_genes_DT <- showSpatialCorFeats(spat_cor_netw_DT,
use_clus_name = "spat_netw_clus",
show_top_feats = 1)
cluster_genes <- cluster_genes_DT$clus
names(cluster_genes) <- cluster_genes_DT$feat_ID
visium_brain <- createMetafeats(visium_brain,
feat_clusters = cluster_genes,
name = "cluster_metagene")
spatCellPlot(visium_brain,
spat_enr_names = "cluster_metagene",
cell_annotation_values = netw_ranks$clusters,
point_size = 1,
cow_n_col = 5)
Once we identified spatial genes, we can use them to re-calculate the clusters based only on the expression information that follows spatial patterns.
coexpr_dt <- data.table::data.table(
genes = names(spat_cor_netw_DT$cor_clusters$spat_netw_clus),
cluster = spat_cor_netw_DT$cor_clusters$spat_netw_clus)
data.table::setorder(coexpr_dt, cluster)
top30_coexpr_dt <- coexpr_dt[, head(.SD, 30) , by = cluster]
spatial_genes <- top30_coexpr_dt$genesUse the spatial genes to calculate again the principal components, umap, network and clustering.
visium_brain <- runPCA(gobject = visium_brain,
feats_to_use = spatial_genes,
name = "custom_pca")
visium_brain <- runUMAP(visium_brain,
dim_reduction_name = "custom_pca",
dimensions_to_use = 1:20,
name = "custom_umap")
visium_brain <- createNearestNetwork(gobject = visium_brain,
dim_reduction_name = "custom_pca",
dimensions_to_use = 1:20,
k = 5,
name = "custom_NN")
visium_brain <- doLeidenCluster(gobject = visium_brain,
network_name = "custom_NN",
resolution = 0.15,
n_iterations = 1000,
name = "custom_leiden")
spatPlot2D(visium_brain,
cell_color = "custom_leiden",
point_size = 3)
plotUMAP(gobject = visium_brain,
cell_color = "custom_leiden")
Hidden Markov Random Field (HMRF) models capture spatial dependencies and segment tissue regions based on shared and gene expression patterns.
hmrf_folder <- file.path(results_folder, "HMRF")
if(!file.exists(hmrf_folder)) dir.create(hmrf_folder, recursive = TRUE)
HMRF_spatial_genes <- doHMRF(gobject = visium_brain,
expression_values = "scaled",
spatial_genes = spatial_genes,
k = 20,
spatial_network_name="spatial_network",
betas = c(0, 10, 5),
output_folder = hmrf_folder)
visium_brain <- addHMRF(gobject = visium_brain,
HMRFoutput = HMRF_spatial_genes,
k = 20,
betas_to_add = c(0, 10, 20, 30, 40),
hmrf_name = "HMRF")
spatPlot2D(gobject = visium_brain,
cell_color = "HMRF_k20_b.40")
R version 4.4.2 (2024-10-31)
Platform: x86_64-apple-darwin20
Running under: macOS Sequoia 15.4
Matrix products: default
BLAS: /System/Library/Frameworks/Accelerate.framework/Versions/A/Frameworks/vecLib.framework/Versions/A/libBLAS.dylib
LAPACK: /Library/Frameworks/R.framework/Versions/4.4-x86_64/Resources/lib/libRlapack.dylib; LAPACK version 3.12.0
locale:
[1] en_US.UTF-8/en_US.UTF-8/en_US.UTF-8/C/en_US.UTF-8/en_US.UTF-8
time zone: America/New_York
tzcode source: internal
attached base packages:
[1] stats graphics grDevices utils datasets methods base
other attached packages:
[1] Giotto_4.2.1 GiottoClass_0.4.7
loaded via a namespace (and not attached):
[1] RColorBrewer_1.1-3 shape_1.4.6.1 rstudioapi_0.17.1
[4] jsonlite_2.0.0 magrittr_2.0.3 magick_2.8.6
[7] farver_2.1.2 rmarkdown_2.29 GlobalOptions_0.1.2
[10] zlibbioc_1.52.0 ragg_1.3.3 vctrs_0.6.5
[13] Cairo_1.6-2 memoise_2.0.1 GiottoUtils_0.2.4
[16] terra_1.8-29 htmltools_0.5.8.1 S4Arrays_1.6.0
[19] BiocNeighbors_2.0.1 SparseArray_1.6.2 parallelly_1.43.0
[22] htmlwidgets_1.6.4 plotly_4.10.4 cachem_1.1.0
[25] igraph_2.1.4 iterators_1.0.14 lifecycle_1.0.4
[28] pkgconfig_2.0.3 rsvd_1.0.5 Matrix_1.7-3
[31] R6_2.6.1 fastmap_1.2.0 clue_0.3-66
[34] GenomeInfoDbData_1.2.13 MatrixGenerics_1.18.1 future_1.34.0
[37] digest_0.6.37 colorspace_2.1-1 S4Vectors_0.44.0
[40] dqrng_0.4.1 irlba_2.3.5.1 textshaping_1.0.0
[43] GenomicRanges_1.58.0 beachmat_2.22.0 labeling_0.4.3
[46] progressr_0.15.1 httr_1.4.7 polyclip_1.10-7
[49] abind_1.4-8 compiler_4.4.2 doParallel_1.0.17
[52] withr_3.0.2 backports_1.5.0 BiocParallel_1.40.0
[55] viridis_0.6.5 ggforce_0.4.2 R.utils_2.13.0
[58] MASS_7.3-65 DelayedArray_0.32.0 rjson_0.2.23
[61] bluster_1.16.0 gtools_3.9.5 GiottoVisuals_0.2.12
[64] tools_4.4.2 future.apply_1.11.3 quadprog_1.5-8
[67] R.oo_1.27.0 glue_1.8.0 dbscan_1.2.2
[70] grid_4.4.2 checkmate_2.3.2 Rtsne_0.17
[73] cluster_2.1.8.1 generics_0.1.3 gtable_0.3.6
[76] R.methodsS3_1.8.2 tidyr_1.3.1 data.table_1.17.0
[79] BiocSingular_1.22.0 tidygraph_1.3.1 ScaledMatrix_1.14.0
[82] metapod_1.14.0 XVector_0.46.0 BiocGenerics_0.52.0
[85] foreach_1.5.2 ggrepel_0.9.6 pillar_1.10.1
[88] limma_3.62.2 circlize_0.4.16 dplyr_1.1.4
[91] tweenr_2.0.3 lattice_0.22-6 FNN_1.1.4.1
[94] tidyselect_1.2.1 ComplexHeatmap_2.22.0 SingleCellExperiment_1.28.1
[97] locfit_1.5-9.12 scuttle_1.16.0 knitr_1.50
[100] gridExtra_2.3 IRanges_2.40.1 edgeR_4.4.2
[103] SummarizedExperiment_1.36.0 scattermore_1.2 stats4_4.4.2
[106] xfun_0.51 graphlayouts_1.2.2 Biobase_2.66.0
[109] statmod_1.5.0 matrixStats_1.5.0 UCSC.utils_1.2.0
[112] lazyeval_0.2.2 yaml_2.3.10 evaluate_1.0.3
[115] codetools_0.2-20 ggraph_2.2.1 GiottoData_0.2.16
[118] tibble_3.2.1 colorRamp2_0.1.0 cli_3.6.4
[121] RcppParallel_5.1.10 uwot_0.2.3 reticulate_1.42.0
[124] systemfonts_1.2.1 munsell_0.5.1 Rcpp_1.0.14
[127] GenomeInfoDb_1.42.3 zigg_0.0.2 globals_0.16.3
[130] png_0.1-8 Rfast_2.1.5.1 parallel_4.4.2
[133] ggplot2_3.5.1 scran_1.34.0 sparseMatrixStats_1.18.0
[136] listenv_0.9.1 SpatialExperiment_1.16.0 viridisLite_0.4.2
[139] scales_1.3.0 purrr_1.0.4 crayon_1.5.3
[142] GetoptLong_1.0.5 rlang_1.1.5 cowplot_1.1.3